Exercices à chercher pour mercredi 10/10
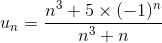
■ Exercice 1 : déterminer la limite de la suite u définie, pour n > 0, par :

■ Exercice 2 : on rappelle (inégalité démontrée dans le cours) que pour tout réel positif a et tout entier naturel n, on a :
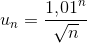
En déduire la limite de la suite u définie pour n > 0, par :